回顾2019年上半年,一大批楼盘在2019年上半年的天门楼市中叱咤风云,在这半年里天门市有哪些楼盘取得了商品房预售许可证呢?小编为大家整理了2019年上半年天门市获得预售许可证的情况。具体详情请见如下:
据天门房网数据统计,2019年上半年天门房地产市场共有28个楼盘申领了45张商品房预售证,预售总面积达91.3万平方米。上半年总共7409套房源入市,相比2018年同期上涨了42.79%。2019年上半年新建商品住宅入市6755套,相比2018年同期上涨了39.69%;非住宅654套。
一、2019年上半年天门市商品房住宅与非住宅新增预售套数情况

从时间上来看,2019年1月份商品房供应套数、预售面积及预售证发放张数均达到峰值,1月份,天门商品房新增预售共计4217套,占比总数56.92%,其中,1月份新增4008套住宅入市,为2019年上半年商品住宅供应量zui多的一个月;预售面积共计11.77㎡,占比总数12.89%;共有24个项目申领25张商品房预售证,占比总数54.34%。

二、2019年上半年天门市各版块获批预售许可证数量情况

小编注意到,天门今年上半年审批的预售证虽然有45张,但是涵盖的项目仅有28个。可见,上半年的房源供应以老盘加推为主。比如碧桂园·玖玺、鑫龙·御龙湾、卓尔生活城、R公馆、上坤·北湖四季半年内均分别拿证3次,楚天世纪城、南德·荟景湾、西湖新天地等项目均拿证2次,富力·院士廷、华泰雅苑、状元府、东湖·中央公馆、华西新城等项目拿证1次。而纯新盘方面暂时还没有取证的楼盘。

从2019年上半年天门市各板块获得预售许可证的项目来看,老城区获证项目1个,城东获证项目5个,城南获证项目7个,城西获证项目5个,城北获证项目5个,乡镇获证项目5个,可见城南板块楼盘的发展速度相对较快。

三、2019年天门上半年每月获批预售许可证数量情况

从2019年上半年天门市每月获批预售许可证数量情况来看,今年上半年预售许可证的核发速度是呈疯狂下降的趋势,其中,2019年1月份获证zui多,共计25张。
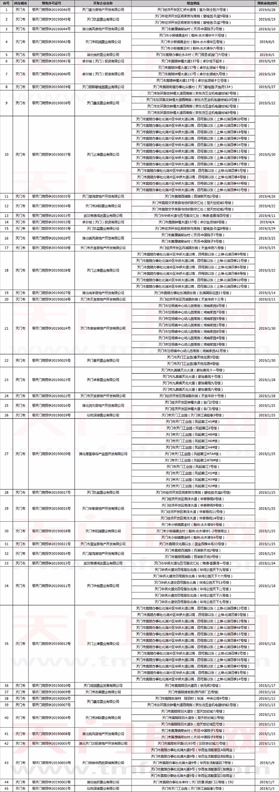
四、2019年上半年天门获批预售许可证详情
2019年上半年天门楼市充满变数,楼市历经起伏。整体来看获证数量还是比较可观的。获证项目多以住宅为主,其中不乏一些品牌大盘,拿下多个预售证,以下是2019年上半年天门市获预售证详情一览表,统计自官方公开数据。


